润滑解决方案
我们的技术人员团队具备丰富的润滑知识和经验,能够为客户提供定制化的润滑解决方案,为您甄选上百种产品,提供“一站式”模式,真正意义上的“添加剂超市”。
查看更多
减少摩擦点滴润滑
诚化新材料优选多种类型添加剂或助剂,在实现配方组成上达到灵活性以提供更好的润滑材料性能,并竭尽为您解决任何存在的问题。
查看更多
产品中心
PRODUCT CENTER
润滑油单剂
润滑油复合剂
乳化油相助剂
橡胶助剂
T705C中性二壬基萘磺酸钙防锈剂是一款集防锈,破乳化,提高抗盐雾性能和环保无害的多功能防锈添加剂,成功平衡了防锈性能与环保安全的要求。独特的无钡配方、双重防锈和抗乳化功能以及优异的热稳定性,是各类工业润滑油和润滑油添加剂腐蚀抑制剂应用的理想选择。
极压剂T2540(硫化烯烃2540)是一款高效、环保的含硫极压抗磨剂,通过高温下形成化学反应膜减少金属接触磨损。其高活性硫特性赋予产品卓越的极压性和抗磨性,适用于多种金属加工润滑场景。T2540兼容性强、安全性高,能替代传统含氯添加剂,助力工业润滑向绿色高效转型,是重负荷加工设备的理想选择。
T349酸性磷酸酯胺盐极压抗磨剂是一款综合性能卓越的无灰多功能润滑油添加剂。它通过酸性磷酸酯胺盐混合物有效提升油品的极压抗磨性和防锈性,尤其在与硫磷添加剂复配时展现出显著的协同效应。其应用领域覆盖工业润滑剂、润滑脂、内燃机油、液力传动液、合成油、食品机械油及金属加工油等多种场景,能满足不同设备的润滑保护需求。此外,该产品具有安全性高、环境友好及与多种基础油良好相容等特点,是现代高性能润滑解决方案的理想选择。
T706苯骈三氮唑(BTA)以螯合成膜机制为核心,通过多金属协同防护、高温稳定性及环保特性,成为工业缓蚀领域的标杆产品。其在润滑油中实现低添加量(0.3%)高缓蚀效果,在循环水处理中兼容阻垢杀菌组分,在气相防锈场景提供长效保护,并持续拓展至新能源、可降解润滑油等前沿领域。
防锈剂T705A中性二壬基萘磺酸钡凭借其中性特性、广谱防护能力及优异的化学稳定性,成为现代工业润滑体系的核心添加剂。其多场景适用性(如潮湿环境、高负荷机械)和环保优势,进一步巩固了其在金属加工、液压系统等领域的市场地位。通过科学配比与复配技术,T705A可显著提升油品综合性能,为工业设备提供长效防锈保障。
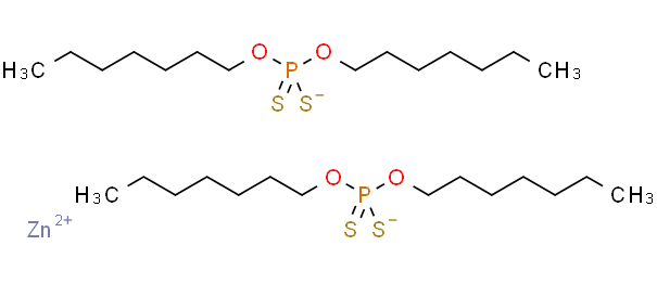
二烷基二硫代磷酸锌T203(ZDDP/ ZDTP,CAS号68649-42-3)是一款久经验证、性能卓越的多功能润滑油添加剂。它集抗氧、抗腐、抗磨等多种功能于一体,通过可靠的硫-磷-锌协同作用机制,为现代工业设备和车辆发动机提供全面的润滑保护。选择优质的T203添加剂,是提升润滑油产品性能档次、确保机械设备长期稳定运行、降低维护成本的有效途径。
碱性二异辛基二硫代磷酸锌(诚化新材的硫磷双辛基碱性锌盐)代表了现代润滑油添加剂技术的一个重要方向,它通过优化分子结构,在继承传统ZDDP优点的基础上,显著提升了抗水解安定性等关键性能。选择此类高质量的碱性二烷基二硫代磷酸锌产品,是确保工业设备在苛刻环境下获得长效、可靠润滑保护的明智之举,有助于降低维护成本并延长设备寿命。
硫磷双辛伯烷基锌盐T204(CAS号68649-42-3)是诚化新材旗下的一款经典、高效的多功能润滑油添加剂。它集抗氧、抗腐、抗磨等多种功能于一体,通过可靠的硫磷锌协同作用机制,为现代工业设备提供全面的润滑保护。选择优质的T204添加剂,是提升润滑油产品档次、确保机械设备长期稳定运行、降低维护成本的有效途径。
T406E液态苯三唑脂肪酸铵盐以液态化技术与多功能协同为核心,重新定义了高端润滑油添加剂的性能标准。其卓越的有色金属保护能力与宽温域稳定性,为风电齿轮箱、精密机床、涡轮增压发动机等关键设备提供长效润滑保障,是工业绿色化与高效化升级的理想选择。
T406苯三唑脂肪酸胺盐以多功能一体化设计重新定义了高端润滑油添加剂的性能标准,其卓越的有色金属保护能力与宽温域稳定性,为风电齿轮箱、精密机床、涡轮增压发动机等关键设备提供长效润滑保障,是工业绿色化与高效化升级的理想选择。
降凝剂T816C富马酸酯-醋酸乙烯酯共聚物是一款高效、环保的油品添加剂,通过抑制蜡晶三维网络形成,显著降低润滑油及柴油的凝点与冷滤点。其核心优势包括广谱适用性、优异油溶性及与多种添加剂的兼容性,可满足发动机油、工业润滑油、柴油等领域对低温流动性的严苛需求。产品符合国标及行业标准,适用于大规模工业化生产,是提升油品冬季性能的理想选择。
T816A富马酸酯-醋酸乙烯酯共聚物是一款专为改善润滑油低温性能设计的高效降凝剂。其通过吸附蜡晶表面或形成共晶结构,抑制三维网状结晶生成,使油品在低温下保持流动性。该产品加量小(0.2%-1%)、兼容性强,可广泛应用于液压油、齿轮油、发动机油等工业领域,尤其适配石蜡基基础油。技术参数严格符合行业标准,兼具剪切稳定性与环保特性,是提升润滑油低温性能的理想选择。
CHF-3099润滑油/SP汽油发动机油复合剂作为一款高性能内燃机油复合剂,通过优化配方实现了抗磨损性、高温清洁性与环保性的平衡,满足API SP标准对低速早燃保护和燃油经济性的严苛要求。其低磷配方与广泛的油品适配性,为润滑油生产企业提供了高效、可持续的解决方案,有助于提升终端油品在高端市场的竞争力。
CHF-3099润滑油/SP汽油发动机油复合剂作为一款高性能内燃机油复合剂,通过优化配方实现了抗磨损性、高温清洁性与环保性的平衡,满足API SP标准对低速早燃保护和燃油经济性的严苛要求。其低磷配方与广泛的油品适配性,为润滑油生产企业提供了高效、可持续的解决方案,有助于提升终端油品在高端市场的竞争力。
CHF-3088润滑油/SN SM汽油发动机油复合剂作为一款高性能内燃机油复合剂,通过优化配方实现了抗磨性、清洁性与抗氧化性的平衡,满足现代汽油发动机对润滑保护的高标准需求。其广泛的油品适配性和稳定的加剂量设计,为润滑油生产企业提供了高效、经济的解决方案,有助于提升终端油品的市场竞争力。
CHF-3066润滑油/SL汽油发动机油复合剂是一款性能全面、质量稳定的汽油发动机油复合剂产品,其科学配方设计和严格生产工艺确保了油品的高温清洁性、抗氧化性和抗磨损性能。作为优质的内燃机油复合剂,它不仅满足API SL规格要求,还兼顾生产成本与效益,为润滑油生产企业提供了一种可靠的技术解决方案。通过使用本产品,可调制出具有优异综合性能的汽油发动机油,为现代汽油发动机提供全面保护,延长发动机使用寿命,同时降低维护成本。
CHF-3055润滑油SJ汽油发动机油复合剂是一款多功能润滑添加剂,凭借其良好的热稳定性能、润滑性能和低灰分特性,成为汽油发动机油、真空泵油、抗燃液压油等高端润滑油品的关键调制组分。该产品不仅有助于提升设备在高温、高负荷条件下的可靠性,还能降低维护成本,满足多种工业场景下的润滑需求,是追求高效、安全、环保运行的工业企业的理想选择。
CHF-6055高温链条油复合剂是一款多功能润滑添加剂,凭借其优异的热稳定性能、润滑性能和低结焦特性,成为高温链条系统、真空泵油、抗燃液压油等高端润滑油品的关键调制组分。该产品不仅有助于提升设备在高温、重负荷条件下的可靠性,还能降低维护成本,满足多种工业场景下的润滑需求,是追求高效、环保、安全运行的工业企业的理想选择。
CHF-6044润滑油/真空泵油复合剂是一款多功能高性能润滑油添加剂,通过优化基础油的抗氧化性、极压抗磨性、密封性和抗乳化性,显著提升润滑油品在各类工业设备中的表现。该产品特别适用于真空泵系统及精密工业设备,能有效延长设备使用寿命,减少维护需求,提高生产效率。其广泛的适用性和卓越的性能特点,使其成为现代工业润滑领域的理想选择。
CHF-5010水-乙二醇抗燃液压油复合剂作为一款高性能液压油添加剂,通过多种功能组分的科学配比和协同作用,显著提升了水-乙二醇难燃液压油的综合性能。其卓越的抗磨性、防锈性、氧化安定性和抗泡性,结合固有的抗燃特性,使之成为高温、明火等危险工况下液压系统的理想选择。
液力传动油复合剂主要由抗磨剂、抗磨剂、抗氧剂、防锈剂、金属减活剂等复配组成,产品外观清澈透亮,无刺激性气味,不含硫化添加剂,不含氯化石蜡,在指导下以适宜的基础油中按参考剂量满足标准。专门应用配制6#、8#液力传动油
减震器油复合剂是由多种精选添加剂,如抗氧剂、极压抗磨剂、防锈剂、油性剂、金属减活剂等,通过科学配方复配而成的多功能复合剂。只需以较低的比例(通常为1.2%-1.5%)添加到合适的II、III、IV类基础油中,即可调制出满足各类汽车、摩托车,特别是重负荷车辆液压减震系统使用要求的专用润滑油。它是提升减震器性能、延长其使用寿命的核心要素
低锌含量配方,满足国标抗磨液压油中含锌添加剂的含量≤0.03%,防止对银、铜等材质的液压部件造成腐蚀。在提供优良的抗磨性同时降低灰分,防止液压部件之间的摩擦。推荐加剂量后使成品液压油具有优良的抗磨性、抗氧性、防锈性、防腐蚀性,延长使用寿命。优良的破乳性,能迅速与接触的水分离。
无灰分配方,不含金属锌成分的添加剂,防止腐蚀银质液压部件。推荐加剂量后使成品液压油具有优良的抗磨性、抗氧性、防锈性、防腐蚀性,延长使用寿命。采用优良的抗磨剂等添加剂,满足国标GB 11118.1高压抗磨液压油标准。优良的抗乳化性,能迅速与接触的水分离,减缓油品的衰变速度,延长换油期。
高锌含量配方,提供优良的抗磨性,防止液压部件之间的摩擦。配方含有高性能抗氧剂、防锈剂,在提供良好的抗氧性、防锈性、有效防止油品氧化及液压部件腐蚀。推荐加剂量后使成品液压油具有优良的抗磨性、抗氧性、防锈性、防腐蚀性,延长使用寿命。采用优良的抗磨剂等添加剂,满足国标GB 11118.1抗氧防锈液压油标准。优良的抗乳化性,能迅速与接触的水分离。
聚异丁烯琥珀酸酐(PIBSA)作为多行业核心中间体,凭借环保工艺、卓越的乳化性与分散性,持续推动润滑油、金属加工、民爆及特种化学品的技术升级。其定制化应用方案可满足不同工业场景的高性能需求,是提升终端产品竞争力的关键原料。
T2007A聚异丁烯马来酸酐(CAS67762-77-0)凭借环保工艺、高分散性及多功能应用,成为润滑油、金属加工、民爆等领域的核心原料。其定制化解决方案可满足高性能工业需求,是提升终端产品竞争力的关键选择。
聚异丁烯琥珀酸酐(PIBSA)作为多行业核心中间体,凭借环保工艺、卓越的乳化性与分散性,持续推动润滑油、金属加工、民爆及特种化学品的技术升级。其定制化应用方案可满足不同工业场景的高性能需求,是提升终端产品竞争力的关键原料。
T2007A聚异丁烯马来酸酐(CAS67762-77-0)凭借环保工艺、高分散性及多功能应用,成为润滑油、金属加工、民爆等领域的核心原料。其定制化解决方案可满足高性能工业需求,是提升终端产品竞争力的关键选择。
二烷基二硫代磷酸锌(促进剂ZDTP)作为一种高效橡胶硫化促进剂,在橡胶制品行业中具有不可替代的重要地位。其独特的性能特点使其能够满足多种橡胶制品的生产需求,从日常生活中的鞋底到工业领域的橡胶配件,都能发挥关键作用。使用ZDTP硫化促进剂后橡胶制品不喷霜、不引起褪色,并具有良好的耐黄变性能,能用于半透明、快速硫化的天然橡胶鞋底配方中。
抗氧剂264(2,6-二叔丁基对甲酚)以受阻酚结构为核心,凭借高效抗氧化性、多领域兼容性和食品级安全性,成为工业与民生领域的关键助剂。其固态特性确保在油品及高分子材料中稳定分散,协同复配方案进一步拓展应用场景。从润滑油抗泥渣到食品防酸败,从橡胶防老化到医药包装稳定性,该产品以低成本、高效益推动产业链升级,是兼具经典性与创新性的抗氧化解决方案。
抗氧剂264(2,6-二叔丁基对甲酚)以受阻酚结构为核心,凭借高效抗氧化性、多领域兼容性和食品级安全性,成为工业与民生领域的关键助剂。其固态特性确保在油品及高分子材料中稳定分散,协同复配方案进一步拓展应用场景。从润滑油抗泥渣到食品防酸败,从橡胶防老化到医药包装稳定性,该产品以低成本、高效益推动产业链升级,是兼具经典性与创新性的抗氧化解决方案
二烷基二硫代磷酸锌(促进剂ZDTP)作为一种高效橡胶硫化促进剂,在橡胶制品行业中具有不可替代的重要地位。其独特的性能特点使其能够满足多种橡胶制品的生产需求,从日常生活中的鞋底到工业领域的橡胶配件,都能发挥关键作用。使用ZDTP硫化促进剂后橡胶制品不喷霜、不引起褪色,并具有良好的耐黄变性能,能用于半透明、快速硫化的天然橡胶鞋底配方中。
抗氧剂264(2,6-二叔丁基对甲酚)以受阻酚结构为核心,凭借高效抗氧化性、多领域兼容性和食品级安全性,成为工业与民生领域的关键助剂。其固态特性确保在油品及高分子材料中稳定分散,协同复配方案进一步拓展应用场景。从润滑油抗泥渣到食品防酸败,从橡胶防老化到医药包装稳定性,该产品以低成本、高效益推动产业链升级,是兼具经典性与创新性的抗氧化解决方案。
抗氧剂264(2,6-二叔丁基对甲酚)以受阻酚结构为核心,凭借高效抗氧化性、多领域兼容性和食品级安全性,成为工业与民生领域的关键助剂。其固态特性确保在油品及高分子材料中稳定分散,协同复配方案进一步拓展应用场景。从润滑油抗泥渣到食品防酸败,从橡胶防老化到医药包装稳定性,该产品以低成本、高效益推动产业链升级,是兼具经典性与创新性的抗氧化解决方案
查看更多
产品应用
PRODUCT APPLICATION
查看更多
-
2026-01-09
-
2026-01-09T-561噻二唑衍生物金属减活剂作为一种高效的润滑油添加剂,凭借其独特的化学结构和多重功能特性,在润滑油脂和金属加工液领域展现出卓越的性能。它能有效抑制金属离子的催化氧化作用,提供优异的极压抗磨性和铜腐蚀抑制能力,与抗氧剂复合使用更可产生显著的协同增效效应。
-
2026-01-07T551苯三唑衍生物作为高效的金属减活剂,在工业润滑油领域展现出卓越的价值。它通过独特的化学机理在金属表面形成惰性保护膜,有效阻断金属离子对油品氧化的催化作用,从而大幅延长润滑油的使用寿命并提升设备保护水平。
-
2026-01-06T534烷基二苯胺作为一种高效高温抗氧剂,凭借其独特的化学结构和优异的性能特点,已成为现代润滑油配方中不可或缺的关键组分。从丁基二苯胺的分子设计到T534液体混合二烷基二苯胺的最终产品,其合成工艺确保了产品具有卓越的高温稳定性和抗氧化效能。
公司介绍
锦州诚化新材料有限公司 - 润滑领域的信赖伙伴
锦州诚化新材料有限公司是一家位于锦州市的专业润滑产品提供商。我们秉承着为润滑体系提供优质产品的使命,致力于为客户提供卓越的润滑解决方案。通过我们的产品和服务,我们助力客户实现高效、可靠和持久的润滑效果。
我们的业务范围涵盖了清净分散剂、抗氧抗腐剂、极压抗磨剂等润滑油单剂系列。同时,我们还提供润滑油复合剂,并为客户提供代加工生产服务。我们的产品不仅具备出色的性能,还经过严格的质量控制,确保其满足客户的需求。
查看更多




